נעילה הידראולית, נשמע רע מאוד כשזה בא מהמכונאי שלך. אבל מה זה באמת, איך קורה, מתי ולמה

מנגנון הארכובה, מדהים בפשטותו, אך יכול להיות גם הרסני אם לא שולטים בעקרונות ההנדסיים. כל כך פשוט, עד שאנחנו בכלל לא מבחינים בו, ואפילו שוכחים להשתמש בו כשצריך ואפשר.

נזק מנעילה הידראולית

הנעילה ההידרוסטטית או נעילה הידראולית (Hydrolock), משהו מרתק שקשור בהידראוליקה ועולם הרכב (אותו אני אוהב כל כך). זמן רב אני אוסף צילומים של מקרים, בהם פגשתי, כדי שאפשר יהיה ללמוד משהו…

אז הנה לפניכם ניתוח אירוע שהיה:

עובדות ומוצגים                 

בצילינדר מס 6, נמצא טלטל שבור.

טלטל שבור מהידרולוק

הבלוק ניזוק בשני מקומות, משני עברי הצילינדר הנ”ל:

בלוק שבור בנעילה הידראולית

וכן נפרצה תחתית עוקת השמן:

 

הידרולוק תחתית עוקה שבורה

מדובר במנוע דיזל V6 (6 צילינדרים מבנה V)

 

הסיפור:

הנהג טלפן למוסך והתלונן על זיוף במנוע. המוסך המליץ להכנס למוסך הקרוב ולבדוק. למרות ההמלצה  הרכב המשיך לנסוע 150 ק”מ עד למוסך בצפון הארץ. במוסך אובחן, בבדיקת מחשב, כשל בצילינדר מס’ 6. לא אותרו רעשים ו/או דפיקות מנוע. הוחלף מרסס. בעת הבדיקה עם המרסס החדש, התרחש הכשל. הטלטל נשבר, והגדם שבר את הבלוק והתחתית.

 

ניתוח

מדידת רוחב פס הפחם בצילינדרים, הראתה 13 מ”מ בצילינדר 6 לעומת 10 מ”מ בכל יתר הצילינדרים (פס הפיח או הפחם, אלו שרידי השרפה שנדבקים לצילינדר מעל לטבעת האטימה (רינג) ועד לראש הצילינדר):

סימני הפיח בראש הצילינדר

שינוי זה  של 3 מ”מ באורך הטלטל, לפי חישובים שערכתי, הביא ליחס דחיסה של 1:12 בצילינדר 6, לעומת יחס דחיסה של 1:18 בצילינדר תקין במנוע זה. (יחס דחיסה: נפח תא השריפה + הנפח שהבוכנה דוחסת לחלק בנפח תא השריפה)

קרב פילטר האוויר נמצא יבש אך היו סימנים המצביעים על מעבר מים למערכת היניקה :

קרב סינון שנרטב

אין ספק שהתרחשה נעילה הידרוסטטית אשר כיווצה את הטלטל וגרמה ליחס דחיסה נמוך ומכאן זיוף המנוע. 150 ק”מ הספיקו כדי לבנות שכבת פיח חדשה בראש הצילינדר ברוחב גדול משאר הצילינדרים, כי הבוכנה “הגיעה” פחות גבוה בצילינדר 6.

בעת הנעילה ההידרוסטטית, פין הבוכנה, של צילינדר 6, נשוא הכשל, נשאר מקביל לגל הארכובה ולכן התאפשרה נסיעה עם זיוף “בלבד” (בגלל יחס דחיסה נמוך בצילינדר 6) עד למוסך.

לא נמצאה שחיקה על הצילינדר הנ”ל. מה שמחזק את ההשערה שהפין נשאר מקביל לציר המנוע.

 

הטלטל עמד בעומס בעת הנסיעה עד למוסך ולא גרם לנזק כלשהוא למנוע.

השבר במנוע התרחש במוסך בעת בדיקה בעמידה ללא עומס.

כדי לגרום לשבר כזה בטלטל, היה צורך בכוח גדול, כמו זה הנוצר בנעילה הידרוסטטית.

ואכן, סביר להניח שהתרחשה נעילה הידרוסטטית נוספת במוסך.

 

קיימות מספר אפשרויות לחדירת נוזל לצילינדר במוסך והן:

  1. דלק שנשפך מהצנרת לתוך הצילינדר הפתוח ללא מזרק.
  2. הדלק שהצטבר בצילינדר ולא ניצת, עקב יחס דחיסה נמוך, גרם לנעילה הידוסטטית קשה אשר שברה את הטלטל. פגיעת הטלטל השבור בדפנות גרמה לשברים בגוף המנוע.
  3. המזרק “טפטף” (והכניס לצילינדר כמות גדולה של דלק).

 

אפשרות אחרת:

נוצרה נעילה הידרוסטטית שעיקמה את הטלטל, מכאן הזיוף במנוע.

המשך הנסיעה עד למוסך, פיתח את הנזק עוד יותר, ולרוע המזל, בזמן הבדיקות במוסך, התרחש השבר הסופי.

מאחר והשבר עבר שחיקה, קשה לנתח את מהות השבר בטלטל (התעייפות או כפיפה).

האפשרות השניה נראית כפחות סבירה בגלל הזמן הקצר יחסית (150 ק”מ ).

 

מעניין שלא שאלתם, עד כאן, מדוע קרתה הנעילה דווקא בצילינדר 6, ורק בצילינדר זה. הרי מים היו אמורים להיות בשפע, שיספיק לכולם? (הנהג הודה בחקירה שעבר בשלולית ואכן היה זה יום חורפי גשום).

התשובה נעוצה במבנה המנוע וסעפת היניקה, או שצילינדר זה נמוך יותר, או שפיתולי הסעפת גורמים למים, שנסחפים בזרם האויר, ל”היזרק” לאחד הקצוות של הסעפת, במקרה זה צילינדר 6.

 

מה זה בכלל נעילה הדרוסטטית (באנגלית HYDROLOCK)?

ובכן, אם נפח חלל השריפה, בעלית הבוכנה לעבר נקודה מתה עליונה, יהיה מלא בנוזל בלתי דחיס, תתקל הבוכנה ב”קיר” ולא תוכל לעלות יותר. הכוחות בגל הארכובה הלוחצים על הטלטל בסמוך לנקודה מתה עליונה יכולים לשאוף לאינסוף, ולכן הטלטל הוא הראשון שקורס.

וכמה נוזל צריך כדי לגרום לנעילה הידרוסטטית?

במנוע בעל 6 צילינדרים, בנפח של 3000 סמ”ק, קוטר בוכנה 83 מ”מ ומהלך 92 מ”מ (ויחס דחיסה 1:18 )   יספיקו 30 סמ”ק.

וכמה זה 30 סמ”ק?

30סמק

ממש לא הרבה.

רכב שנפח מנועו 3000 סמ”ק, ונוסע 5 ק”מ לליטר, במהירות 60 קמ”ש, צורך, 30 סמ”ק כל 18 שניות.                                                       

 

ומה עושים אם נכנסים לשלולית וחושדים שנכנסו מים למנוע?

מכבים את המנוע מיד!

פותחים את הפילטר לראות אם עברו מים.

אם עברו, לפתוח פתח בצילינדרים (לפרק פלגים או מזרקים)

לסובב בעזרת הסטרטר (מתנע) עד שבטוחים שאין מים.

וכך אפשר להציל מנוע!

 

עד כאן, HYDROLOC או נעילה הידרוסטטית.

ניתוח המקרה, וקצת פרקטיקה מה לעשות כדי למנוע.

אך מה הפיסיקה מאחורי הסיפור, והאם היכולת לפתח כוחות אינסופיים זה רק נזק? אולי אפשר לנצל את התופעה הזו לטובתנו?

ואם כן, היכן? אולי משהו כבר ניצל את הפיזיקה הזאת במקום אחר?

 

אז הבה נתחיל:

וכמובן, נתחיל בדג”ח   (דיאגרמת גוף חופשי) על מנגנון הארכובה, ונראה מה שיעור הכוחות שיכולים להתפתח בטלטל:

תנועה סיבובית לקווית

הגל המסתובב, נושא עמו מומנט M     

מומנט זה,  שווה למכפלת הכוח המשיק בפין הארכובה במרחקו ממרכז הסיבוב של הגל (r).         M=Fxr :

דגח לארכובה

כוח משיקי זה, גודלו קבוע, והוא מסתובב עם הארכובה מסביב למרכז הסיבוב של הגל (זווית α משתנה מאפס ל   2π  )

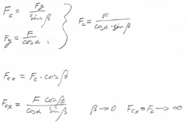
את הכוח המשיקי F, אנחנו יכולים לפרק לשני כוחות ניצבים זה לזה. האחד מקביל לציר האופקי והשני מקביל לציר האנכי:

אם נרצה לעצור את המומנט, אנחנו צריכים להפעיל על הארכובה כח F השווה בגודלו (לפחות) ומקביל לו כל העת. לצורך העצירה, עומד לרשותנו מוט הקישור (אם תרצו הטלטל), שהוא, בגלל המבנה, נמצא בזווית ᵝ עם האופק (ציר X):

הכוח העובר לטלטל

הארכובה היא ציר (מסב), ולכן הכוח Fc   יכול לתקוף רק לאורך הטלטל (בזווית ᵝ ).

נפרק את Fc  , גם כן, לשני רכיבים: אנכי ואופקי. האנכי המינימלי הדרוש, יהיה שווה ל Fy  . 

הכוח האופקי  Fcx  יהיה, עלפי השרטוט, יותר גדול מFx :

ככל שזווית α תקטן, ותשאף לאפס, Fy ילך ויגדל עד למקסימום F .

גם זווית ᵝ תלך ותקטן, והרכיב Fcx  ילך ויגדל:

חישובי כוח אינסופי בטלטל

אנחנו רואים שכדי לעצור את הסיבוב של הגל בעזרת כוח לאורך חולית הקישור (הטלטל) באזור α=0 (נקודה מתה), יש צורך בכוח Fc  אין סופי.

אנחנו רואים בדוגמאות, שכל אימת שהבוכנה נתקלת במעצור כלשהו, (נוזל, בנעילה הידראולית, או התנגשות בשסתומים) באזור נקודה מתה (עליונה), מתפתחים כוחות אדירים שיכולים לפרק את הטלטל ו/ או חלקים אחרים במערכת.

האם אפשר לנצל את הארכובה ואפקט הכוחות העצומים לטובה?

והתשובה היא, שכן.

והנה דוגמא “עתיקה” לשמוש בארכובה:

מכונת תפירה מונעת רגל אדם

 דוגמא נוספת לניצול האקסצנטר:

ידית אקסצנטר

וזו דוגמא ליישום באופניים של הדוגמא הקודמת (ידית אקסצנטר):

יישום באופנים של ידית אקסצנטר

ואי אפשר מבלי להזכיר את המכבש המכני, מכבש מבוסס ארכובה (ו/או אקסצנטר):

מכבש מכאני

קלטש (מצמד) מצמיד את הציר לגלגל התנופה שמסתובב כל הזמן. נוצר החיבור, והמקב מתחיל לעלות ולרדת בהתאם למהירות גלגל התנופה.

המכבשים האלו, יחסית למכבשים ההידראוליים, זריזים מאד, וקומפקטיים. משתמשים בהם בעיקר לפעולות רציפות בפסי ייצור.

ובכל זאת שאלה למחשבה:

האם קיים הבדל בכוחות המתפתחים בטלטל (החוליה המקשרת) במקרה של ארכובה, לעומת המקרה של ידית האקסצנטר? רמז: דג”ח (נו, איך לא?!)

לסכומו של דבר, 

  • הארכובה: מנגנון פשוט וחכם. משמש להעברת תנועה סיבובית לתנועה ליניארית ולהפך

  • הכוחות המתפתחים לאורך הטלטל, סמוך לנקודה המתה, הם אין סופיים ולכן הרסניים בעוצמתם

  • הכרנו את תופעת הנעילה ההידראולית (Hydrolock), שהיא סכנה למנגנון הארכובה בעיקר ברכב ומדחסים (בהם יש ארכובה ובוכנה)

  • צריך להיזהר מכוחות אלו, אך הבנת המנגנון יכולה לרתום אותו לשימוש נכון בתכנון הקרוב שלכם

עכשיו תורכם 

  עד עכשיו הצגתי בפניכם את מנגנון הארכובה, יתרונותיו, חסרונותיו וסכנה נפוצה ברכב  שגורמת נזק כספי רב. עתה הבמה כולה שלכם. מה תוכלו להוסיף מניסיונכם? איזו דוגמא הייתם מוסיפים מניסיונכם מעבר לדוגמאות שהצגתי במאמר? אנא שתפו אותנו פה למטה, בתגובות (כדי שכולנו נלמד ונצמח ביחד).

הצעד הבא שלכם להצלחה 

אהבתם? שתפו את המאמר עם חברים וקולגות. רוצים לקבל ממני עוד הרבה טיפים מועילים, עקרונות מנחים והדרכה מעשית בנושאים שונים ומגוונים בהנדסת מכונות? במיוחד בשבילכם כתבתי את מדריך הבזק “הנדסה בחקירה” ובו ניתוח עומק של 7 כשלי תכנון בסיסיים שהובילו לאסונות ענק. להורדת המדריך במתנה ממני ולגמרי בחינם – לוחצים כאן.

אודות משה קלמן

אינג' משה קלמן, בוגר לימודי הנדסת מכונות בטכניון במגמת אנרגיה, ובעל תואר שני במנהל עסקים, מהאוניברסיטה העברית בירושלים, מביא אתו ניסיון עשיר של כ-40 שנה בתחומי הנדסה שונים ומגוונים. את הניסיון העצום שצבר, יצק לתוך מגוון תכניות הדרכה למהנדסים בהתאמה לצורכי הארגון.

להורדה בחינם של מדריך הבזק "הנדסה בחקירה" שבו אסף דוגמאות של כשלים קטסטרופליים שנבעו מהזנחה של עקרונות הנדסיים בסיסים – לחצו על הקישור "כן, אני רוצה ללמוד מניסיונם של אחרים"

השארת תגובה